Skip to main content
Open main menu
Local 3005, DC 37, AFSCME
Home
About Us
>
Contact Us
Sign Up For The Member Newsletter
Join Local 3005
Committees
>
Membership
Book Club
Communications
Workforce, Healthcare, and Benefits
Political Action
Contract & Negotiations Committee
Safety Planning Workgroup
News
Calendar
Documents
>
Constitutions
Contracts
Election Reports
Resolutions
Resources for Stewards
FAQ
>
General Questions
Healthcare & Benefits
Additions to Gross on Your Paycheck
New York Health Act
Work issues & grievances
Rights & safety resources
Search
Search site
Search
Home
About Us
Contact Us
Sign Up For The Member Newsletter
Join Local 3005
Committees
Membership
Book Club
Communications
Workforce, Healthcare, and Benefits
Political Action
Contract & Negotiations Committee
Safety Planning Workgroup
News
Calendar
Documents
Constitutions
Contracts
Election Reports
Resolutions
Resources for Stewards
FAQ
General Questions
Healthcare & Benefits
Additions to Gross on Your Paycheck
New York Health Act
Work issues & grievances
Rights & safety resources
Search site
Search
News
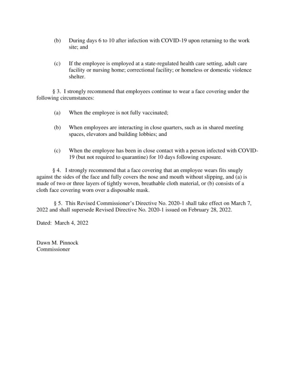
Revised Mask Directive (March 7, 2022)
wingwong
Mar. 9, 2022
Social share icons